
가우시안 분포 (Gaussian Distribution)
- 가우시안 분포가 일어나는 여러가지 상황
- 정보이론에서 엔트로피를 최대화시키는 확률분포
- 중심극한정리

단일변수 x

D차원 벡터 x

여기서 u는 D차원의 평균 벡터이고, ∑는 D X D 크기를 가지는 공분산 행렬입니다. 중요한 것은 u와 ∑가 평균, 공분산으로 주어진 것이 아니고, 파라미터로 주어진 확률밀도함수의 평균과 공분산이 u, ∑가 된다는 것입니다.
가우시안 분포의 기하학적인 형태
- x에 대한 함수적 종속성은 지수부에 등장하는 이차형식(quadratic form)에 있습니다.

- ∑가 공분산으로 주어진 것이 아니기 때문에 처음부터 이 행렬이 대칭이라고 생각할 필요는 없습니다. 그러나 이차 형식에 나타나는 행렬은 오직 대칭부분만이 그 값에 기여합니다.

따라서, ∑가 대칭행렬인 것으로 간주할 수 있습니다.
대칭행렬의 성질에 따라서 ∑를 아래와 같이 나타낼 수 있습니다.

- y를 벡터들 ui에 의해 정의된 새로운 좌표체계 내의 점으로 해석할 수 있습니다. 이것을 기저변화(change of basis)이라고 합니다.

- x - u: standard basis에서의 좌표
- y: basis {u1, u2, ..., uD}에서의 좌표

가우시안 분포의 Normalization 증명
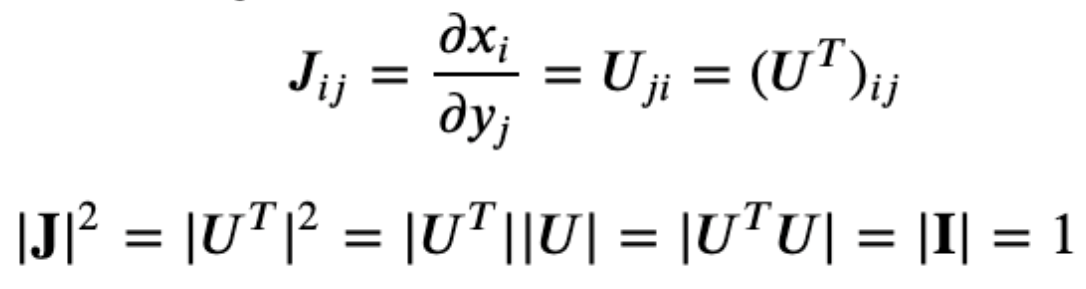
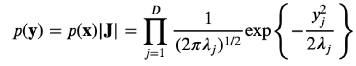
- y의 확률밀도함수를 구하기 위해서 Jacobian J를 구해야 합니다.

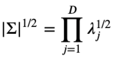
- 행렬식 |∑|는 고유값의 곱으로 나타낼 수 있습니다.

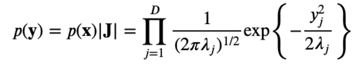
- 따라서, y의 확률밀도함수는

- y의 normalization

'BOOTCAMP > 프로그래머스 인공지능 데브코스' 카테고리의 다른 글
| [8주차 - Day2] monthly project2 (0) | 2023.06.22 |
|---|---|
| [7주차 - Day5] ML_basics - 실습 (0) | 2023.06.22 |
| [7주차 - Day3] ML_basics - Probability Distributions (Part 1) (0) | 2023.06.21 |
| [7주차 - Day2] ML_basics - Decision Theory & Linear Regression (0) | 2023.06.21 |
| [7주차-Day1] ML_basics - Probability (0) | 2023.06.21 |